HPF +40db/dec
1. Pendahuluan[kembali]
High-pass filter (HPF) adalah filter elektronik yang memungkinkan frekuensi di atas titik cutoff tertentu untuk melewati, sementara frekuensi di bawahnya dilemahkan. HPF +40 dB/dec berarti filter ini menurunkan gain sebesar 40 desibel per dekade frekuensi di bawah cutoff, menunjukkan kemampuan yang sangat efektif dalam mengurangi komponen frekuensi rendah.
Filter dengan karakteristik ini biasanya merupakan filter orde tinggi, dicapai melalui beberapa tahapan RC atau desain filter aktif dengan penguat operasional. HPF +40 dB/dec sering digunakan dalam aplikasi seperti sistem audio, komunikasi, dan pemrosesan sinyal digital, di mana pemisahan sinyal frekuensi tinggi dari sinyal frekuensi rendah sangat penting.
Pendahuluan ini akan menjelaskan prinsip dasar operasi HPF, penurunan gain 40 dB/decade, dan aplikasi praktisnya dalam berbagai bidang elektronik.
2. Tujuan[kembali]
a. Mengetahui prinsip kerja dan melakukan simulasi dari rangkaian HPF +40 dB/dec
b. Mengetahui rangkaian dari OP-AMbP SPECIFICATIONS
c. Mengetahui fungsi dari OP-AMP SPECIFICATIONS
3. Alat dan Bahan[kembali]
a. Alat
1.Power Suplay
Berfungsi sebagai sumber daya bagi sensor ataupun rangkaian.Spesifikasi:Input voltage: 5V-12VOutput voltage: 5VOutput Current: MAX 3AOutput power: 15Wconversion efficiency: 96%
2. Osiloskop
3. Voltmeter
Merupakan alat untuk mengukur tegangan pada suatu circuit. Dalam menggunakannya kita memparalelkan voltmeter dengan rangkaian yang ingin diukur besar tegangannya. Jika tegangan berupa tegangan DC maka pengalinya di set pada bagian DC, dan jika AC maka diset pada bagian AC. Hasil pada layar akan dikali dengan pengalinya terlebih dahulu, maka akan muncul nilai tegangan pada rangkaianSpesifikasi:
Pinout
4. BODE PLOTTER
Bode diagram merupakan salah satu teknik dalam respon analisis untuk mendeteksi magnitude dan phasa dari sistem jika diberi input sinusoidal. Teknik ini dapat memprediksi Transfer Function dari sistem yang diberi input sinusoidal melalui proses analisa gambar diagram Bode.
5. SIGNAL GENERATOR
Generator sinyal adalah perangkat apa pun yang menghasilkan sinyal elektronik. Generator sinyal vektor berspesialisasi dalam membuat sinyal RF dengan skema modulasi analog dan digital dalam format seperti QAM, QPSK, FSK, BPSK, dan OFDM. Generator sinyal vektor umumnya digunakan untuk pengujian sensitivitas penerima.
b. Bahan
1. KAPASITOR
Nilai kapasitor (104J) : 10 * 10^4 pF = 10^5 pF = 100nF; toleransi 5% = ± 95nF sampai 105nF
Kapasitor adalah komponen elektronika pasif yang dapat menyimpan muatan listrik dalam waktu sementara.
Cara menghitung nilai kapasitor :
1. Masukan 2 angka pertama langsung untuk nilai kapasitor.
2. Angka ke-3 berfungsi sebagai perpangkatan (10^n) nilai kapasitor.
3. Satuan kapasitor dalam piko farad.
4. Huruf terakhir menyatakan nilai toleransi dari kapasitor.
Daftar nilai toleransi kapasitor :
B = 0.10pF
C = 0.25pF
D = 0.5pF
E = 0.5%
F = 1%
G = 2%
H = 3%
J = 5%
K = 10%
M = 20%
Z = + 80% dan -20%
2. RESISTOR
Resistor 1k Ohm
Resistor berfungsi untuk menghambat arus dalam rangkaian listrik.
Cara menghitung nilai resistansi resistor dengan gelang warna :
1. Masukan angka langsung dari kode warna gelang pertama.
2. Masukan angka langsung dari kode warna gelang kedua.
3. Masukan angka langsung dari kode warna gelang ketiga.
4. Masukkan jumlah nol dari kode warna gelang ke-4 atau pangkatkan angka tersebut dengan 10 (10^n).
5. Gelang terakhir merupakan nilai toleransi dari resistor.
3. GROUND
Grounding atau Pentanahan adalah sistem pentanahan yang terpasang pada suatu instalasi listrik yang bekerja untuk meniadakan beda potensial dengan mengalirkan arus sisa dari kebocoran tegangan atau arus dari sambaran petir ke bumi.
4. OP AMP 77BRC/883
OP- AMP biasanya digunakan pada sistem analog komputer sebagai penguat video/gambar, penguat audio, osilator, detector dan lainnya. LM741 biasanya bekerja pada tegangan positif/negatif 12 volt, dibawah itu IC tidak akan bekerja.
4. Dasar Teori[kembali]
Rangkaian filter adalah suatu rangkaian listrik yang berfumgsi untuk melewatkan sinyal listrik dengan rentang frekuensi tertentu. Apabila terdapat sinyal listrik yang tidak sesuai dengan frekuensi yang diinginkan maka sinyal listrik tersebut tidak akan dilewatkan. Rangkaian filter dapat diaplikasikan secara luas, baik untuk menyaring sinyal pada frekuensi rendah, frekuensi tinggi, atau pada frekuensi-frekuensi tertentu.
Rangkaian filter dapat dikelompokkan menjadi filter pasif dan filter aktif, tergantung dari komponen yang digunakan. Apabila menggunakan komponen aktif, seperti transistor dan dioda maka dinamakan filter aktif. Sementara jika menggunakan komponen pasif seperti induktor, resistor, dan kapasitor maka dinamakan filter pasif.
HPF +40 dB/dec
Adapun rangkaian HPF +40dB/dec adalah seperti pada gambar 228.
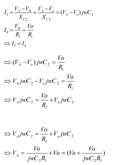
I1 + I2=I3
5. Percobaan[kembali]
a) Prosedur[kembali]
- Siapkan alat dan bahan yang dibutuhkan dalam membuat rangkaian tersebut.
- Diantara alat dan bahan yang digunakan adalah Gsine, Op-Amp, Osiloskop serta Ground.
- Rangkailah alat dan bahan tersebut seperti gambar di bawah ini.
- Simulasikan pada software proteus. Gambar Simulasi
b) Rangkaian simulasi [kembali]
7.3.2 HPF +40 dB/dec
c) Video Simulasi [kembali]
6. Download File[kembali]
Download Vidio Simulasi Unduh
Download Rangkaian Unduh
Download Data sheet Resistor Unduh
Download Data sheet op amp77brc/883 Unduh
Download Data sheet Kapasitor Unduh
Download Data sheet Bode Plotter Unduh
Download Data sheet Signal Generator Unduh

































Komentar
Posting Komentar